본문 바로가기

대학원 공부/확률과 통계

다중변수 및 연합분포 (6-2강)

여러확률변수가 연합된 확률분포의 정의와 연합확률분포를 학습한다.

 

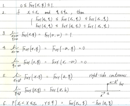
1. Joint CDF 가 무엇인지 서술하고, Joint CDF Properties 7개를 제시하시오

 

2. Marginal CDF와 PDF는 어떻게 구하고 의미는 무엇인가?

 

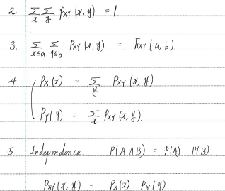
3. Discrete RV에서 PXY(x,y) = P[X=x, Y=y] 에 관련된 성질 5개를 서술하시오

 

4. 연속 rv에 대해서 fXY(x,y), FXY(x,y)가 무엇인지 식을 쓰시오

 4.1. [특징] fXY(x,y) >= a, 이중적분 -∞~∞ fXY(x,y) dx dy = b, P[x1<X<=x2, y1<Y<=y2] = c(적분식) 에서 a,b,c를 구하시오

 

 

 

 


1. Joint CDF 가 무엇인지 서술하고, Joint CDF Properties 7개를 제시하시오

[Bivariate]의 경우, 두 가지 rv를 사용.

두개의 샘플 스페이스와 그에 상응하는 집합(랜덤변수로 바꿀 수 있는 값들)에 대해서, 두 개의 rv X와 Y를 사용하는 것

Joint CDF는 x축과 y축으로 이루어진 그래프에서 영역을 색칠하고, 그 영역내에서 결과값이 나올 확률이다.

 

2번 추가설명 = non-decreasing

3번 추가설명 Fx(∞) = 1

4번 추가설명 P(x<= -∞) 는 발생할 수 없는 경우인데, 4번에서 P는 이 둘 모두가 발생해야 하기에 0!

5번 추가복습 필요!

 

 

2. Marginal CDF와 PDF는 어떻게 구하고 의미는 무엇인가?

 

Marginal CDF:

FX(x) = FXY(x, ∞) x에 관련해서만 생각

FY(y) = FXY(∞, y) y에 관련해서만 생각

 

Marginal PDF:

fX(x) = ∫(-∞~∞)fXY(x,y)dy

y에 대해 모든 범위로 미분 = x만 남음

fY(y) = ∫(-∞~∞)fXY(x,y)dx

x에 대해 모든 범위로 미분 = y만 남음

 

3. Discrete RV에서 PXY(x,y) = P[X=x, Y=y] 에 관련된 성질 5개를 서술하시오

 

PXY(x,y) = P[X=x, Y=y]

 

5번 중요

 

 

4. 연속 rv에 대해서 fXY(x,y), FXY(x,y)가 무엇인지 식을 쓰시오

fXY(x,y) PDF, FXY(x,y) CDF

 

 4.1. fXY(x,y) >= a, 이중적분 -∞~∞ fXY(x,y) dx dy = b, P[x1<X<=x2, y1<Y<=y2] = c(적분식) 에서 a,b,c를 구하시오

 

1) fXY(x,y) >= 0

2) ∬-∞~∞ fXY(x,y) dx dy = 1

3) P[x1<X<=x2, y1<Y<=y2] = ∬(y1~y2,x1~x2)fXY(x,y)dxdy

 

 

 

강의 출처:

http://www.kocw.net/home/search/kemView.do?kemId=1056974